国庆假期一结束,管理学院收到一封特别的挂号信,是一位海归老人寄来的感谢信。原来,市场营销41542班的薛梅同学在三阳百盛国美电器工学结合期间拾金不昧,老人的贵重物品和财物在她的帮助下失而复得。
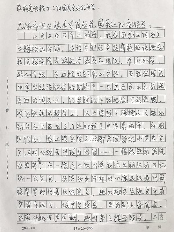
今年75岁的诸先生前段时间从国外回到无锡,趁国庆假期为家中添置电器,于10月2日 下午来到国美电器三阳百货店选购。正在海信空调门店工学结合的薛梅认真为诸先生介绍了商品的性能、价格等情况,并耐心回答了他的所有问题。诸先生从包里拿出纸笔记录时不慎将一只黑色皮包遗落。随后,诸先生还在商场了解了其他家电品牌,临近傍晚准备离开时发现皮包丢失,内有身份证、护照、手机及银行卡、现金等大量贵重物品。当他心急如焚地返回寻找时,看到薛梅正紧紧抱着自己的皮包四处张望。在商场楼面领导的见证下,皮包完璧归赵。
诸先生表示,自己刚回国不久,重要的证件均放在那只黑色皮包当中,而手机里的资料也并没有其他备份,如果找不回来将损失惨重。而做了好事的薛梅并没有对老师和同学们提起此事,直到老人通过工学结合单位打听,将感谢信辗转寄到学校。诸老先生表示,这个失而复得的黑色皮包让他看到了当代大学生的风采,并发自肺腑地感慨:社会主义祖国好!
(管理学院 撰稿/供图:朱琳;审核:江铭)


老人亲笔写来的感谢信

